Beverly Coble Harassed a Dying Law Enforcement Hero and Manipulated His Family Over Politics

FOR IMMEDIATE RELEASE
March 24, 2025

RANDLEMAN, NC – AnybodyButCoble.org is sharing troubling information about mayoral candidate Beverly Coble’s conduct toward a decorated law enforcement officer and his family during one of the most vulnerable periods of their lives.

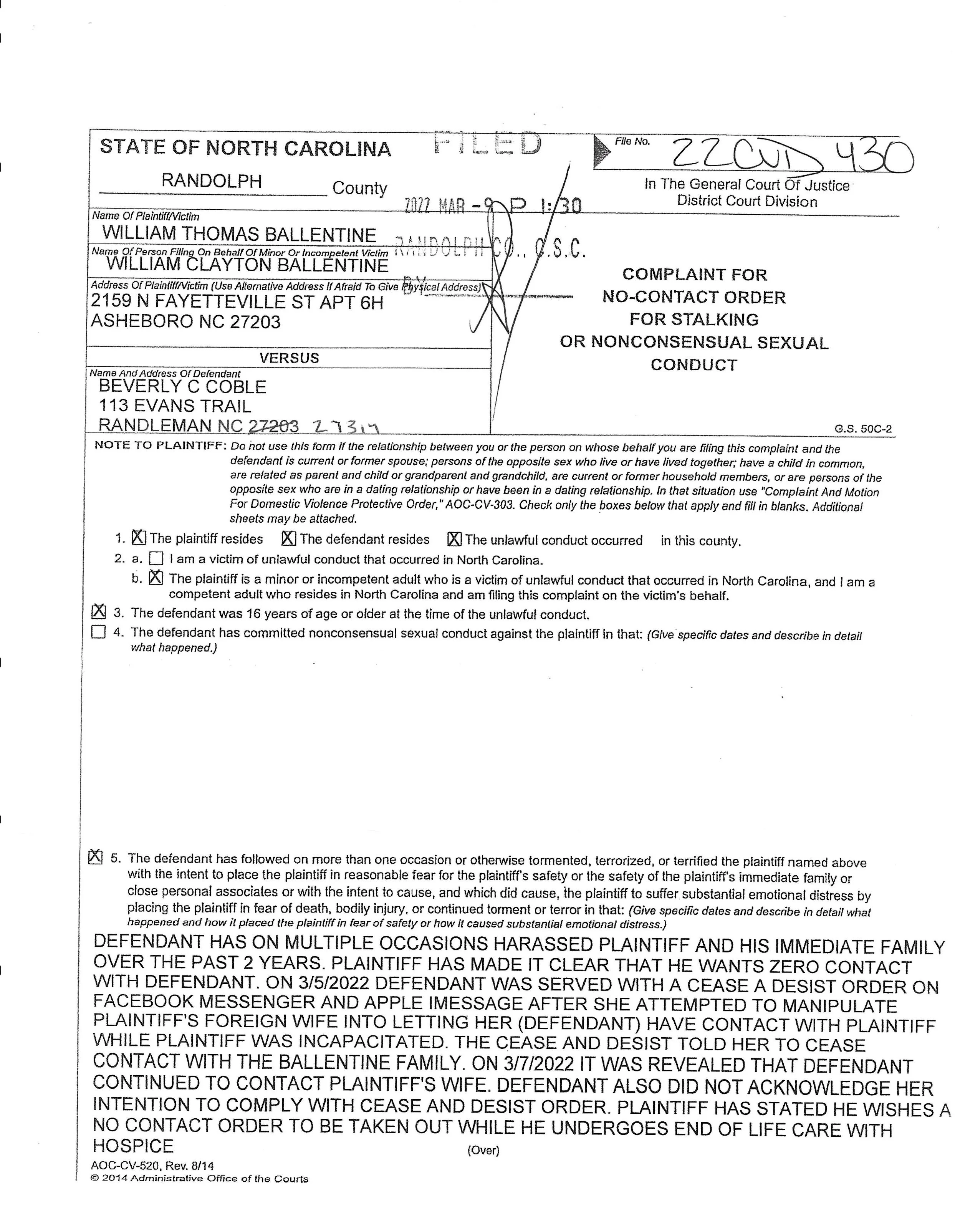
In March of 2022, while Bill Ballentine—a highly respected law enforcement officer and recipient of the Order of the Long Leaf Pine, North Carolina’s highest civilian award—was in hospice care battling cancer, Coble’s actions caused significant emotional distress to him and his loved ones.

According to the family, Bill had made it explicitly clear that he wanted nothing to do with Coble. He had blocked her on social media, ended all contact, and made it known her presence was not welcome. Despite this, Coble attempted to manipulate Bill’s wife, Jane, into allowing her to stay with him, ignoring his wishes and the impact her presence would have on his children. At the same time, she was publicly attacking Bill’s son, Matthew, on Facebook, reportedly in retaliation for political disagreements over a candidate Coble supported in a countywide race.

Even after Bill’s passing, Coble’s involvement continued. She kept up her public attacks on Bill’s sons, showing no regard for the family’s grief or need for space to heal. Most would have shown empathy. Coble chose continued conflict.

Family members also say that Coble played a direct role in separating Bill’s widow from his children, isolating her from the very people who had supported her during Bill’s final months. Then, after that separation was in place, Coble assisted the widow in selling off Bill’s personal property—without informing or consulting his children, further deepening the emotional toll on a family still trying to cope with their loss.

Rather than allowing the family to grieve in peace, Coble dragged out a court case for nearly a year over their attempt to seek a protective order against her. Then, nearly a year after Bill’s death, she publicly claimed she had “gotten what she wanted” in court and insisted she “did not lose”—despite the outcome not being in her favor.

“This is not just about politics—this is about character,” said Clayton Ballentine, founder of AnybodyButCoble.org. “Beverly Coble harassed my dying father, tried to insert herself into his final days, manipulated his grieving widow, continued attacking his sons after he died, and then helped liquidate his property behind our backs. If she would go this far over political disagreements, imagine the damage she could do as mayor. Randleman deserves better.”

Coble’s actions, as described by those directly impacted, reveal a disturbing pattern of emotional manipulation, boundary violations, and disregard for the basic decency expected of someone seeking public office. As the mayoral race continues, Randleman residents must ask: Is this the kind of person we want leading our community?

###

Previous
Previous

Beverly Coble Responds to Harassment Allegations by Attacking Survivor’s Childhood Trauma

Next
Next

Beverly Coble Follows Democrat Playbook, Weaponizing the Courts Against Opponents Again